3/19/251: Run sample code
a: Read in/generate data vector
library(ggplot2) 
library(MASS) 
## 
## Attaching package: 'MASS'
## The following object is masked from 'package:dplyr':
## 
##     select
#z <- rnorm(n=3000, mean=0.2)
#z <- data.frame(1:3000, z)
#names(z) <- list("ID", "myVar")
#z <- z[z$myVar>0,]
#str(z)
#summary(z$myVar)
b: Plot histogram
#p1 <- ggplot(data=z, aes(x=myVar, y=..density..)) +
  #geom_histogram(color="grey60",fill="cornsilk",size=0.2) 
#print(p1)
c: Add empirical density curve
#p1 <-  p1 +  geom_density(linetype="dotted",size=0.75)
#print(p1)
d: Get maximum likelihood parameters for normal
#normPars <- fitdistr(z$myVar,"normal")
#print(normPars)
#str(normPars)
#normPars$estimate["mean"] 
e: Plot normal probability density
#meanML <- normPars$estimate["mean"]
#sdML <- normPars$estimate["sd"]
#xval <- seq(0,max(z$myVar),len=length(z$myVar))
# stat <- stat_function(aes(x = xval, y = ..y..), fun = dnorm, colour="red", n = length(z$myVar), args = list(mean = meanML, sd = sdML))
 #p1 + stat
f: Plot exponential probability density
#expoPars <- fitdistr(z$myVar,"exponential")
#rateML <- expoPars$estimate["rate"]
#stat2 <- stat_function(aes(x = xval, y = ..y..), fun = dexp, colour="blue", n = length(z$myVar), args = list(rate=rateML))
 #p1 + stat + stat2
g: Plot uniform probability density
#stat3 <- stat_function(aes(x = xval, y = ..y..), fun = dunif, colour="darkgreen", n = length(z$myVar), args = list(min=min(z$myVar), max=max(z$myVar)))
 #p1 + stat + stat2 + stat3
h: Plot gamma probability density
#gammaPars <- fitdistr(z$myVar,"gamma")
#shapeML <- gammaPars$estimate["shape"]
#rateML <- gammaPars$estimate["rate"]
#stat4 <- stat_function(aes(x = xval, y = ..y..), fun = dgamma, colour="brown", n = length(z$myVar), args = list(shape=shapeML, rate=rateML))
# p1 + stat + stat2 + stat3 + stat4
g: Plot beta probability density
#pSpecial <- ggplot(data=z, aes(x=myVar/(max(myVar + 0.1)), y=..density..)) +
 # geom_histogram(color="grey60",fill="cornsilk",size=0.2) + 
 # xlim(c(0,1)) +
 # geom_density(size=0.75,linetype="dotted")
#betaPars <- fitdistr(x=z$myVar/max(z$myVar + 0.1),start=list(shape1=1,shape2=2),"beta")
#shape1ML <- betaPars$estimate["shape1"]
#shape2ML <- betaPars$estimate["shape2"]
#statSpecial <- stat_function(aes(x = xval, y = ..y..), fun = dbeta, colour="orchid", n = length(z$myVar), args = list(shape1=shape1ML,shape2=shape2ML))
#pSpecial + statSpecial
2: Sample dataset
a:Read in data
z <- read.table("antcountydata.csv", header=TRUE, sep=",")
str(z)
## 'data.frame':    67 obs. of  25 variables:
##  $ n.species              : int  15 50 62 36 63 42 59 32 10 31 ...
##  $ n.samples              : int  53 192 354 106 454 284 975 99 16 109 ...
##  $ lat.centroid           : num  41.3 41.8 41.8 41.5 41.4 ...
##  $ long.centroid          : num  -73.4 -72.7 -73.2 -72.5 -72.9 ...
##  $ elev.centroid.m        : num  176.9 42.8 376.9 69.9 140.6 ...
##  $ area.km2               : int  1621 1906 2383 956 1570 1725 1062 1329 1287 17687 ...
##  $ mean.ann.temp          : num  9.6 9.8 7.8 9.8 9.7 9.8 8.3 8.9 7.1 3.2 ...
##  $ mean.diurnal.temp.range: num  10.8 11.8 11.5 10.6 10.7 11.1 11.6 12.1 11.3 12.5 ...
##  $ isothermality          : num  0.3 0.31 0.3 0.3 0.3 0.31 0.31 0.32 0.28 0.28 ...
##  $ temp.seasonality.sd    : num  86.9 90.7 90.2 86.5 87.3 ...
##  $ max.temp               : num  27.4 29.1 26.3 27.7 27.7 27.6 26.8 27.6 26.7 24.6 ...
##  $ min.temp               : num  -8 -8.6 -10.8 -7.5 -7.6 -7.8 -10.1 -9.8 -12.7 -19.4 ...
##  $ temp.range             : num  35.4 37.7 37.1 35.2 35.3 35.4 36.9 37.4 39.4 44 ...
##  $ mean.temp.wettest.Q    : num  8.3 14.4 12.4 5.7 8.3 1.2 4.1 4.6 2.6 15.2 ...
##  $ mean.temp.driest.Q     : num  -1.9 -1.1 -3.1 20.7 -0.7 20.5 -2.4 -1.8 18.4 -9.9 ...
##  $ mean.temp.warmest.Q    : num  20.5 21.3 19 20.7 20.8 20.5 19.4 19.9 19.3 16.4 ...
##  $ mean.temp.coldest.Q    : num  -1.9 -2.3 -4.3 -1.6 -1.8 -1.4 -3.5 -2.9 -5.7 -11.3 ...
##  $ ann.precip             : int  1250 1167 1246 1239 1222 1229 1233 1218 1134 966 ...
##  $ precip.wettest.month   : int  117 106 113 118 113 121 116 117 120 103 ...
##  $ precipldriest.month    : int  88 81 88 91 88 87 87 89 83 53 ...
##  $ precip.cv              : int  8 7 7 7 7 9 7 7 11 19 ...
##  $ precip.wettest.Q       : int  338 309 328 331 328 337 326 329 325 296 ...
##  $ precip.driest.Q        : int  290 266 280 292 287 279 284 290 253 179 ...
##  $ precip.warmest.Q       : int  304 290 323 292 293 279 306 291 260 292 ...
##  $ precip.coldest.Q       : int  290 270 284 302 289 310 289 297 279 195 ...
names(z) <- list("ID", "myVar")
z <- z[z$myVar>0,]
str(z)
## 'data.frame':    67 obs. of  25 variables:
##  $ ID   : int  15 50 62 36 63 42 59 32 10 31 ...
##  $ myVar: int  53 192 354 106 454 284 975 99 16 109 ...
##  $ NA   : num  41.3 41.8 41.8 41.5 41.4 ...
##  $ NA   : num  -73.4 -72.7 -73.2 -72.5 -72.9 ...
##  $ NA   : num  176.9 42.8 376.9 69.9 140.6 ...
##  $ NA   : int  1621 1906 2383 956 1570 1725 1062 1329 1287 17687 ...
##  $ NA   : num  9.6 9.8 7.8 9.8 9.7 9.8 8.3 8.9 7.1 3.2 ...
##  $ NA   : num  10.8 11.8 11.5 10.6 10.7 11.1 11.6 12.1 11.3 12.5 ...
##  $ NA   : num  0.3 0.31 0.3 0.3 0.3 0.31 0.31 0.32 0.28 0.28 ...
##  $ NA   : num  86.9 90.7 90.2 86.5 87.3 ...
##  $ NA   : num  27.4 29.1 26.3 27.7 27.7 27.6 26.8 27.6 26.7 24.6 ...
##  $ NA   : num  -8 -8.6 -10.8 -7.5 -7.6 -7.8 -10.1 -9.8 -12.7 -19.4 ...
##  $ NA   : num  35.4 37.7 37.1 35.2 35.3 35.4 36.9 37.4 39.4 44 ...
##  $ NA   : num  8.3 14.4 12.4 5.7 8.3 1.2 4.1 4.6 2.6 15.2 ...
##  $ NA   : num  -1.9 -1.1 -3.1 20.7 -0.7 20.5 -2.4 -1.8 18.4 -9.9 ...
##  $ NA   : num  20.5 21.3 19 20.7 20.8 20.5 19.4 19.9 19.3 16.4 ...
##  $ NA   : num  -1.9 -2.3 -4.3 -1.6 -1.8 -1.4 -3.5 -2.9 -5.7 -11.3 ...
##  $ NA   : int  1250 1167 1246 1239 1222 1229 1233 1218 1134 966 ...
##  $ NA   : int  117 106 113 118 113 121 116 117 120 103 ...
##  $ NA   : int  88 81 88 91 88 87 87 89 83 53 ...
##  $ NA   : int  8 7 7 7 7 9 7 7 11 19 ...
##  $ NA   : int  338 309 328 331 328 337 326 329 325 296 ...
##  $ NA   : int  290 266 280 292 287 279 284 290 253 179 ...
##  $ NA   : int  304 290 323 292 293 279 306 291 260 292 ...
##  $ NA   : int  290 270 284 302 289 310 289 297 279 195 ...
summary(z$myVar)
##    Min. 1st Qu.  Median    Mean 3rd Qu.    Max. 
##     2.0    54.0   112.0   365.2   453.5  3498.0
print(z)
##    ID myVar       NA        NA     NA    NA   NA   NA   NA     NA   NA    NA
## 1  15    53 41.27037 -73.38868 176.92  1621  9.6 10.8 0.30  86.88 27.4  -8.0
## 2  50   192 41.80604 -72.73271  42.76  1906  9.8 11.8 0.31  90.70 29.1  -8.6
## 3  62   354 41.79207 -73.24551 376.85  2383  7.8 11.5 0.30  90.18 26.3 -10.8
## 4  36   106 41.46371 -72.53628  69.94   956  9.8 10.6 0.30  86.46 27.7  -7.5
## 5  63   454 41.41133 -72.93209 140.57  1570  9.7 10.7 0.30  87.34 27.7  -7.6
## 6  42   284 41.48932 -72.10095  63.75  1725  9.8 11.1 0.31  84.95 27.6  -7.8
## 7  59   975 41.85441 -72.33728 227.79  1062  8.3 11.6 0.31  88.35 26.8 -10.1
## 8  32    99 41.82970 -71.98752 105.35  1329  8.9 12.1 0.32  88.13 27.6  -9.8
## 9  10    16 44.16497 -70.20523  79.43  1287  7.1 11.3 0.28  96.23 26.7 -12.7
## 10 31   109 46.65539 -68.59930 243.43 17687  3.2 12.5 0.28 107.02 24.6 -19.4
## 11 36    88 43.84401 -70.39729  96.06  3152  7.1 11.5 0.29  93.89 26.3 -12.6
## 12 13    26 44.97659 -70.43745 770.43  4517  3.0 11.4 0.28  99.72 22.7 -17.7
## 13 66   658 44.66924 -68.35556  44.26  6089  6.5 11.2 0.29  93.41 25.7 -12.8
## 14 47   231 44.40802 -69.76055  83.26  2463  7.0 11.8 0.29  97.08 27.0 -13.2
## 15 20    93 44.14914 -69.17305  49.65  2958  7.4 11.1 0.29  91.52 26.2 -11.5
## 16 11    23 44.07397 -69.54331  48.33  1813  7.5 11.0 0.29  92.30 26.3 -11.5
## 17 36    75 44.49497 -70.75481 279.09  5633  5.3 12.5 0.30  99.79 25.7 -15.9
## 18 48   140 45.39688 -68.64795  71.43  9210  5.3 12.5 0.29 101.07 26.0 -16.2
## 19 26    55 45.83410 -69.28309 292.78 11336  3.8 12.0 0.28 104.03 24.5 -17.8
## 20 10    12 43.97070 -69.86159   0.00   958  7.7 10.8 0.28  92.63 26.3 -11.4
## 21 31    60 45.51495 -69.95762 511.85 10606  3.2 11.8 0.28 103.03 23.5 -18.3
## 22 33   314 44.50350 -69.14654 114.31  2209  6.7 11.6 0.29  95.27 26.2 -13.2
## 23 54   556 45.02797 -67.63465  70.62  8430  5.8 11.5 0.29  94.05 25.2 -13.8
## 24 60  3498 43.47897 -70.71433  69.59  3292  7.7 12.7 0.31  93.29 27.7 -12.0
## 25 63   482 41.72768 -70.29937   3.14  1026  9.7  8.7 0.27  79.81 25.6  -5.9
## 26 44   703 42.37096 -73.20682 553.36  2411  6.0 10.8 0.29  91.59 24.6 -12.4
## 27 18    66 41.80235 -71.11502   2.74  1440  9.9 10.6 0.30  85.14 27.8  -7.1
## 28 77   512 41.39729 -70.65680  20.00   269 10.1  8.7 0.27  79.52 25.8  -5.3
## 29 73   438 42.67141 -70.95485  18.76  1290  9.2 11.2 0.30  88.46 27.9  -8.8
## 30 47   475 42.58620 -72.59739  71.66  1818  8.0 13.1 0.32  94.57 28.2 -12.3
## 31 57   648 42.13508 -72.63105  20.21  1601  9.5 12.4 0.31  93.06 29.4  -9.6
## 32 46   535 42.33992 -72.66962  99.05  1370  8.4 12.7 0.32  93.39 28.3 -11.2
## 33 82   453 42.48592 -71.39202  53.30  2134  8.9 11.9 0.31  90.14 27.9  -9.7
## 34 62  2874 41.27764 -70.07367  13.93   124  9.7  7.6 0.27  73.51 23.8  -4.3
## 35 58   460 42.15997 -71.21388  38.17  1036  9.6 11.4 0.31  87.45 28.3  -8.3
## 36 84  1700 41.95324 -70.81294  32.97  1712  9.9 10.3 0.29  84.61 27.5  -7.1
## 37 66  2526 42.33051 -71.07642   5.36   150  9.8 10.8 0.29  87.38 28.3  -7.8
## 38 69  1283 42.35115 -71.90534 276.89  3919  7.7 11.5 0.30  91.25 26.5 -11.1
## 39 17    17 43.50802 -71.42890 292.02  1039  6.0 12.8 0.31  94.74 26.2 -14.3
## 40 28    45 43.88417 -71.20140 168.53  2419  6.1 13.5 0.32  96.68 26.8 -15.1
## 41 31    81 42.91974 -72.25241 208.70  1834  6.8 13.1 0.32  93.97 27.1 -13.4
## 42 34   144 44.68964 -71.30268 538.61  4665  3.7 12.2 0.29  99.83 23.9 -17.3
## 43 39    64 43.93915 -71.81918 543.50  4439  4.7 11.9 0.29  96.24 24.4 -15.4
## 44 36    85 42.91463 -71.71639 232.39  2269  7.4 12.1 0.31  93.66 27.0 -12.0
## 45 36    66 43.29706 -71.67808 132.51  2419  7.1 13.0 0.31  95.65 27.6 -13.5
## 46 50   111 42.98557 -71.12877  54.44  1800  8.3 12.4 0.31  91.74 28.0 -10.9
## 47 53   200 43.29834 -71.03009 115.91   956  7.5 12.8 0.32  92.57 27.6 -12.2
## 48 23    46 43.36073 -72.22246 210.27  1391  6.7 12.6 0.30  96.63 27.1 -13.8
## 49  4    11 41.71513 -71.28277   9.67   117 10.0 10.2 0.29  85.07 27.6  -6.8
## 50  7     7 41.67121 -71.59372  75.70   487  9.4 10.7 0.30  85.09 27.1  -7.8
## 51  2     4 41.55612 -71.23806   7.62   813 10.2  9.4 0.28  82.90 27.0  -5.9
## 52 14    21 41.87276 -71.58127 108.33  1129  9.3 11.4 0.31  87.34 27.7  -8.7
## 53 42   216 41.47244 -71.62310  28.67  1458  9.8 10.1 0.30  81.90 26.6  -6.7
## 54 18   109 44.02813 -73.12987 115.68  1995  7.0 12.1 0.29  99.94 27.5 -13.7
## 55 33    80 43.03342 -73.09395 585.98  1751  5.6 11.6 0.29  94.47 25.0 -13.8
## 56 12   148 44.46520 -72.10204 291.32  1686  5.1 12.1 0.28 101.87 25.8 -16.0
## 57 45   613 44.45956 -73.05299 160.25  1396  6.6 11.1 0.27 101.30 26.8 -13.9
## 58 15   152 44.72892 -71.73763 502.39  1722  3.8 12.1 0.29 101.22 24.1 -17.3
## 59 15   118 44.85492 -72.89071 199.25  1650  5.8 11.1 0.27 102.04 25.8 -15.1
## 60  5     8 44.82464 -73.29546  39.41   215  6.8 11.1 0.27 102.72 26.8 -14.1
## 61 23   131 44.60564 -72.64163 176.09  1194  5.9 11.6 0.28 101.51 26.3 -14.9
## 62  2     2 44.00610 -72.37720 557.57  1785  4.3 11.7 0.29  96.31 24.0 -15.6
## 63  6    11 44.82645 -72.24683 311.37  1805  5.1 11.7 0.27 103.17 25.7 -16.1
## 64 13    29 43.57756 -73.03166 167.01  2414  7.2 12.6 0.30  98.60 27.9 -13.4
## 65 23   168 44.27138 -72.61659 212.38  1787  5.7 11.8 0.28  98.94 26.0 -14.8
## 66  7    45 42.99163 -72.71206 404.96  2044  6.3 12.4 0.31  94.93 26.2 -13.7
## 67 25   112 43.57914 -72.58602 481.86  2515  5.2 12.3 0.30  96.18 25.2 -15.1
##      NA   NA   NA   NA    NA   NA  NA NA NA  NA  NA  NA  NA
## 1  35.4  8.3 -1.9 20.5  -1.9 1250 117 88  8 338 290 304 290
## 2  37.7 14.4 -1.1 21.3  -2.3 1167 106 81  7 309 266 290 270
## 3  37.1 12.4 -3.1 19.0  -4.3 1246 113 88  7 328 280 323 284
## 4  35.2  5.7 20.7 20.7  -1.6 1239 118 91  7 331 292 292 302
## 5  35.3  8.3 -0.7 20.8  -1.8 1222 113 88  7 328 287 293 289
## 6  35.4  1.2 20.5 20.5  -1.4 1229 121 87  9 337 279 279 310
## 7  36.9  4.1 -2.4 19.4  -3.5 1233 116 87  7 326 284 306 289
## 8  37.4  4.6 -1.8 19.9  -2.9 1218 117 89  7 329 290 291 297
## 9  39.4  2.6 18.4 19.3  -5.7 1134 120 83 11 325 253 260 279
## 10 44.0 15.2 -9.9 16.4 -11.3  966 103 53 19 296 179 292 195
## 11 38.9  2.7 18.2 19.0  -5.4 1162 127 83 13 340 251 258 290
## 12 40.4 15.4 -9.2 15.4 -10.4 1122 112 68 14 317 227 317 240
## 13 38.5  2.4 18.2 18.2  -6.0 1162 130 79 15 349 245 245 305
## 14 40.2  2.4 -4.8 19.1  -6.0 1088 113 73 11 308 244 263 250
## 15 37.7  3.3 18.9 18.9  -4.8 1181 131 80 15 355 249 249 297
## 16 37.8  3.3 19.1 19.1  -4.8 1145 124 79 13 336 249 249 284
## 17 41.6  0.6 -6.8 17.7  -8.2 1079 111 68 12 298 224 292 235
## 18 42.2  0.6 -7.0 17.9  -8.4 1043 114 72 13 300 219 272 244
## 19 42.3 16.7 -9.0 16.7 -10.2 1015 103 59 16 301 193 301 209
## 20 37.7  3.4 18.6 19.3  -4.7 1126 120 77 13 327 242 245 284
## 21 41.8 16.0 -9.4 16.0 -10.7 1034 103 59 16 304 196 304 214
## 22 39.4  2.2 -4.8 18.6  -6.1 1151 126 80 13 341 259 259 278
## 23 39.0  1.7 17.6 17.6  -6.8 1165 129 82 14 348 250 250 304
## 24 39.7  3.2 18.6 19.5  -4.7 1166 131 84 14 346 254 259 290
## 25 31.5  2.2 17.1 19.8  -0.6 1131 116 74 12 319 242 246 297
## 26 37.0 15.4 -5.1 17.5  -6.2 1218 114 84  9 333 266 331 270
## 27 34.9  1.4 18.3 20.8  -1.1 1192 118 85 10 334 264 272 312
## 28 31.1  2.6 17.4 20.2  -0.1 1157 115 75 12 326 250 253 306
## 29 36.7  5.1 20.5 20.5  -2.4 1147 121 82 11 326 256 256 293
## 30 40.5 13.1 -3.4 19.8  -4.8 1121 103 78  8 299 250 294 258
## 31 39.0 14.3 -1.7 21.3  -2.9 1104 100 77  7 292 249 284 254
## 32 39.5 13.4 -2.8 20.1  -4.1 1131 103 80  7 300 254 294 260
## 33 37.6  4.5 20.3 20.3  -3.1 1117 115 85  9 310 257 257 283
## 34 28.1  3.1 16.0 19.1   0.4 1094 112 67 13 317 225 248 305
## 35 36.6  0.7 18.4 20.7  -1.9 1166 118 84  9 326 259 265 303
## 36 34.6  1.5 18.2 20.7  -1.1 1229 123 85 10 346 267 272 325
## 37 36.1  1.0 18.6 21.0  -1.6 1122 113 79 10 315 250 252 295
## 38 37.6  3.3 -3.3 19.2  -4.5 1179 112 85  6 312 276 294 279
## 39 40.5  1.3 -5.4 17.8  -6.8 1153 118 83 10 319 253 295 267
## 40 41.9  1.4 -5.5 18.2  -7.0 1221 125 89 10 344 275 303 295
## 41 40.5 18.5 -4.6 18.5  -5.9 1058 100 73  9 289 233 289 239
## 42 41.2 16.1 -8.5 16.1  -9.7 1123 120 67 16 336 216 336 234
## 43 39.8 16.6 -7.0 16.6  -8.3 1151 115 74 13 327 231 327 245
## 44 39.0  2.8 -3.8 19.2  -5.1 1130 114 85  8 313 262 278 273
## 45 41.1  2.4 -4.4 19.1  -5.8 1037 103 73  9 285 227 267 241
## 46 38.9  3.8 -2.7 19.9  -4.0 1098 117 81 10 313 253 258 266
## 47 39.8  3.0 -3.6 19.2  -4.9 1127 123 84 11 326 259 263 272
## 48 40.9 18.7 -5.0 18.7  -6.3 1001  96 68 11 273 211 273 221
## 49 34.4  1.5 18.3 20.9  -1.0 1181 118 82 11 332 258 265 310
## 50 34.9  0.9 17.8 20.2  -1.7 1213 121 85 10 337 269 272 312
## 51 32.9  2.2 18.2 20.8  -0.4 1159 116 78 12 329 251 255 308
## 52 36.4  0.4 18.0 20.4  -2.2 1209 120 88  9 332 274 279 307
## 53 33.3  1.7 17.6 20.2  -0.9 1184 119 80 12 331 257 261 306
## 54 41.2 18.3 -5.2 19.4  -6.5  924 105 50 20 282 164 281 173
## 55 38.8 17.4 -5.9 17.4  -7.0 1271 122 84 11 345 271 345 280
## 56 41.8 17.7 -7.3 17.7  -8.7  998 111 56 19 312 185 312 202
## 57 40.7 19.2 -5.8 19.2  -7.1  928 107 47 22 294 158 294 164
## 58 41.4 16.3 -8.5 16.3  -9.9 1102 125 62 20 349 202 349 221
## 59 40.9 18.3 -6.8 18.3  -8.1 1015 114 52 21 316 177 316 186
## 60 40.9 19.4 -5.9 19.4  -7.2  834  97 43 23 265 143 265 149
## 61 41.2 18.5 -6.5 18.5  -7.8  991 111 53 20 309 178 309 189
## 62 39.6 16.2 -7.4 16.2  -8.6 1142 118 71 14 327 230 327 243
## 63 41.8 17.8 -7.5 17.8  -8.9 1050 117 59 19 328 196 328 212
## 64 41.3 19.5 -4.8 19.5  -6.1 1010 111 58 17 299 192 299 200
## 65 40.8 17.9 -6.4 17.9  -7.7  976 108 56 18 296 184 296 195
## 66 39.9 11.4 -5.2 18.1  -6.5 1217 112 86  8 320 273 319 283
## 67 40.3 17.2 -6.5 17.2  -7.7 1166 114 76 11 316 245 316 257
summary(z)
##        ID            myVar              NA              NA        
##  Min.   : 2.00   Min.   :   2.0   Min.   :41.27   Min.   :-73.39  
##  1st Qu.:16.00   1st Qu.:  54.0   1st Qu.:41.91   1st Qu.:-72.59  
##  Median :34.00   Median : 112.0   Median :43.30   Median :-71.59  
##  Mean   :35.75   Mean   : 365.2   Mean   :43.27   Mean   :-71.42  
##  3rd Qu.:51.50   3rd Qu.: 453.5   3rd Qu.:44.43   3rd Qu.:-70.69  
##  Max.   :84.00   Max.   :3498.0   Max.   :46.66   Max.   :-67.63  
##        NA               NA              NA               NA       
##  Min.   :  0.00   Min.   :  117   Min.   : 3.000   Min.   : 7.60  
##  1st Qu.: 48.99   1st Qu.: 1288   1st Qu.: 5.850   1st Qu.:11.10  
##  Median :114.31   Median : 1785   Median : 7.200   Median :11.60  
##  Mean   :181.65   Mean   : 2622   Mean   : 7.281   Mean   :11.53  
##  3rd Qu.:260.16   3rd Qu.: 2419   3rd Qu.: 9.350   3rd Qu.:12.25  
##  Max.   :770.43   Max.   :17687   Max.   :10.200   Max.   :13.50  
##        NA               NA               NA              NA        
##  Min.   :0.2700   Min.   : 73.51   Min.   :22.70   Min.   :-19.40  
##  1st Qu.:0.2850   1st Qu.: 88.24   1st Qu.:25.75   1st Qu.:-14.55  
##  Median :0.2900   Median : 93.66   Median :26.70   Median :-12.40  
##  Mean   :0.2949   Mean   : 93.20   Mean   :26.50   Mean   :-11.98  
##  3rd Qu.:0.3100   3rd Qu.: 97.84   3rd Qu.:27.60   3rd Qu.: -8.75  
##  Max.   :0.3200   Max.   :107.02   Max.   :29.40   Max.   : -4.30  
##        NA              NA               NA              NA       
##  Min.   :28.10   Min.   : 0.400   Min.   :-9.90   Min.   :15.40  
##  1st Qu.:36.80   1st Qu.: 2.300   1st Qu.:-5.90   1st Qu.:17.90  
##  Median :39.00   Median : 4.500   Median :-3.30   Median :19.20  
##  Mean   :38.48   Mean   : 8.488   Mean   : 3.21   Mean   :18.96  
##  3rd Qu.:40.85   3rd Qu.:16.150   3rd Qu.:18.10   3rd Qu.:20.20  
##  Max.   :44.00   Max.   :19.500   Max.   :20.70   Max.   :21.30  
##        NA               NA             NA              NA       
##  Min.   :-11.30   Min.   : 834   Min.   : 96.0   Min.   :43.00  
##  1st Qu.: -7.15   1st Qu.:1084   1st Qu.:111.0   1st Qu.:68.00  
##  Median : -5.40   Median :1142   Median :115.0   Median :79.00  
##  Mean   : -5.16   Mean   :1124   Mean   :114.9   Mean   :75.24  
##  3rd Qu.: -2.35   3rd Qu.:1181   3rd Qu.:120.0   3rd Qu.:84.00  
##  Max.   :  0.40   Max.   :1271   Max.   :131.0   Max.   :91.00  
##        NA              NA              NA              NA       
##  Min.   : 6.00   Min.   :265.0   Min.   :143.0   Min.   :245.0  
##  1st Qu.: 9.00   1st Qu.:308.5   1st Qu.:224.5   1st Qu.:260.5  
##  Median :11.00   Median :326.0   Median :250.0   Median :284.0  
##  Mean   :12.21   Mean   :319.6   Mean   :240.2   Mean   :284.9  
##  3rd Qu.:14.00   3rd Qu.:332.5   3rd Qu.:263.0   3rd Qu.:303.5  
##  Max.   :23.00   Max.   :355.0   Max.   :292.0   Max.   :349.0  
##        NA       
##  Min.   :149.0  
##  1st Qu.:239.5  
##  Median :278.0  
##  Mean   :263.0  
##  3rd Qu.:296.0  
##  Max.   :325.0
b: Plot histogram
p1 <- ggplot(data=z, aes(x=myVar, y=..density..)) +
  geom_histogram(color="grey60",fill="cornsilk",size=0.2) 
## Warning: Using `size` aesthetic for lines was
## deprecated in ggplot2 3.4.0.
## ℹ Please use `linewidth` instead.
## This warning is displayed once every 8
## hours.
## Call
## `lifecycle::last_lifecycle_warnings()` to
## see where this warning was generated.
print(p1)
## Warning: The dot-dot notation (`..density..`) was
## deprecated in ggplot2 3.4.0.
## ℹ Please use `after_stat(density)`
##   instead.
## This warning is displayed once every 8
## hours.
## Call
## `lifecycle::last_lifecycle_warnings()` to
## see where this warning was generated.
## `stat_bin()` using `bins = 30`. Pick
## better value with `binwidth`.

c: Add empirical density curve
p1 <-  p1 +  geom_density(linetype="dotted",size=0.75)
print(p1)
## `stat_bin()` using `bins = 30`. Pick
## better value with `binwidth`.

d: Get maximum likelihood parameters for normal
normPars <- fitdistr(z$myVar,"normal")
print(normPars)
##      mean         sd    
##   365.22388   647.02810 
##  ( 79.04706) ( 55.89471)
str(normPars)
## List of 5
##  $ estimate: Named num [1:2] 365 647
##   ..- attr(*, "names")= chr [1:2] "mean" "sd"
##  $ sd      : Named num [1:2] 79 55.9
##   ..- attr(*, "names")= chr [1:2] "mean" "sd"
##  $ vcov    : num [1:2, 1:2] 6248 0 0 3124
##   ..- attr(*, "dimnames")=List of 2
##   .. ..$ : chr [1:2] "mean" "sd"
##   .. ..$ : chr [1:2] "mean" "sd"
##  $ n       : int 67
##  $ loglik  : num -529
##  - attr(*, "class")= chr "fitdistr"
normPars$estimate["mean"] 
##     mean 
## 365.2239
e: Plot normal probability density
meanML <- normPars$estimate["mean"]
sdML <- normPars$estimate["sd"]
xval <- seq(0,max(z$myVar),len=length(z$myVar))
stat <- stat_function(aes(x = xval, y = ..y..), fun = dnorm, colour="red", n = length(z$myVar), args = list(mean = meanML, sd = sdML))
 p1 + stat
## `stat_bin()` using `bins = 30`. Pick
## better value with `binwidth`.

f: Plot exponential probability density
expoPars <- fitdistr(z$myVar,"exponential")
rateML <- expoPars$estimate["rate"]
stat2 <- stat_function(aes(x = xval, y = ..y..), fun = dexp, colour="blue", n = length(z$myVar), args = list(rate=rateML))
 p1 + stat + stat2
## `stat_bin()` using `bins = 30`. Pick
## better value with `binwidth`.

g: Plot uniform probability density
stat3 <- stat_function(aes(x = xval, y = ..y..), fun = dunif, colour="darkgreen", n = length(z$myVar), args = list(min=min(z$myVar), max=max(z$myVar)))
 p1 + stat + stat2 + stat3
## `stat_bin()` using `bins = 30`. Pick
## better value with `binwidth`.

h: Plot gamma probability density
gammaPars <- fitdistr(z$myVar,"gamma")
shapeML <- gammaPars$estimate["shape"]
rateML <- gammaPars$estimate["rate"]
stat4 <- stat_function(aes(x = xval, y = ..y..), fun = dgamma, colour="brown", n = length(z$myVar), args = list(shape=shapeML, rate=rateML))
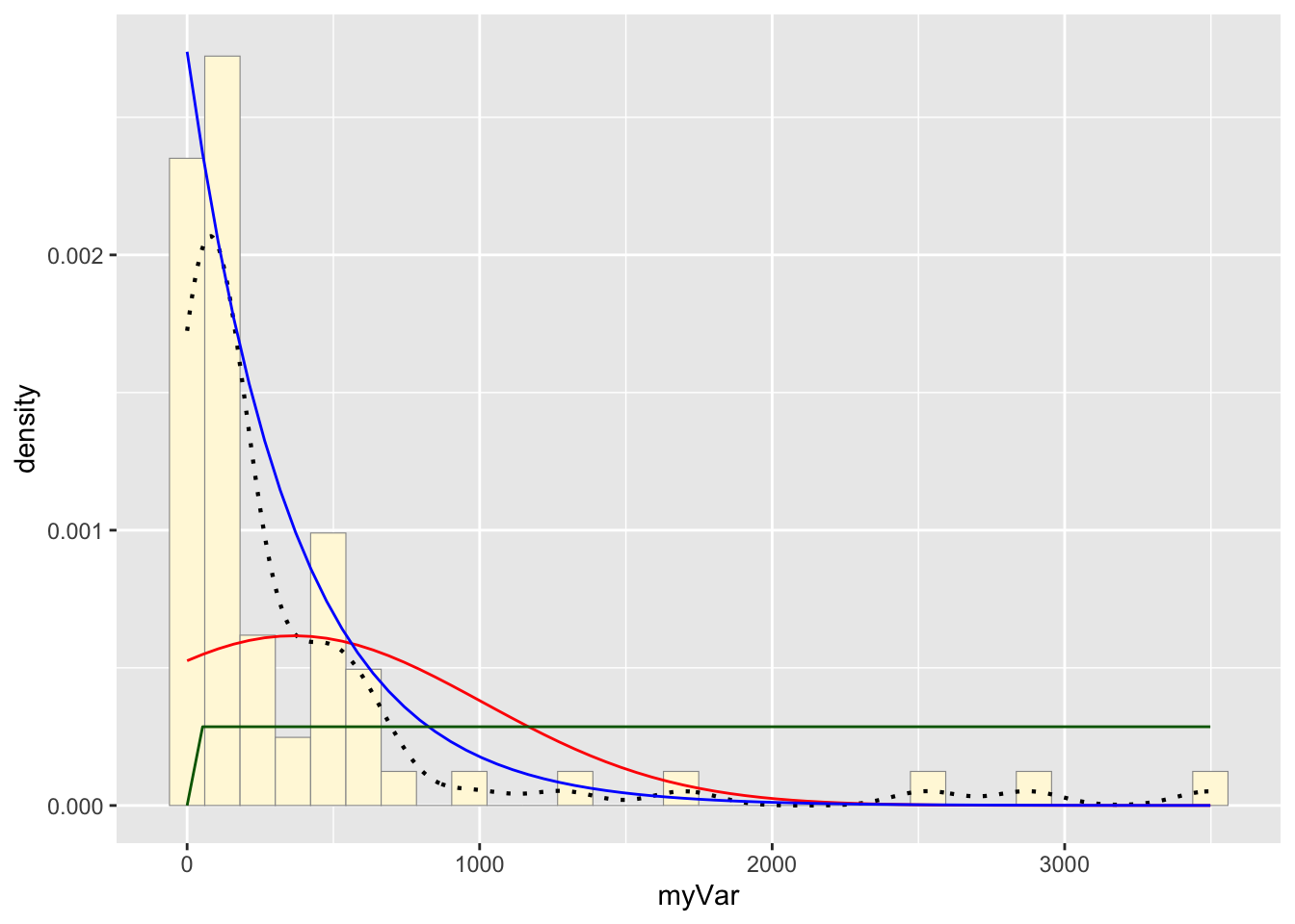
 p1 + stat + stat2 + stat3 + stat4
## `stat_bin()` using `bins = 30`. Pick
## better value with `binwidth`.

g: Plot beta probability density
pSpecial <- ggplot(data=z, aes(x=myVar/(max(myVar + 0.1)), y=..density..)) +
  geom_histogram(color="grey60",fill="cornsilk",size=0.2) + 
  xlim(c(0,1)) +
  geom_density(size=0.75,linetype="dotted")
betaPars <- fitdistr(x=z$myVar/max(z$myVar + 0.1),start=list(shape1=1,shape2=2),"beta")
## Warning in densfun(x, parm[1], parm[2], ...): NaNs produced
## Warning in densfun(x, parm[1], parm[2], ...): NaNs produced
## Warning in densfun(x, parm[1], parm[2], ...): NaNs produced
## Warning in densfun(x, parm[1], parm[2], ...): NaNs produced
## Warning in densfun(x, parm[1], parm[2], ...): NaNs produced
## Warning in densfun(x, parm[1], parm[2], ...): NaNs produced
## Warning in densfun(x, parm[1], parm[2], ...): NaNs produced
## Warning in densfun(x, parm[1], parm[2], ...): NaNs produced
shape1ML <- betaPars$estimate["shape1"]
shape2ML <- betaPars$estimate["shape2"]
statSpecial <- stat_function(aes(x = xval, y = ..y..), fun = dbeta, colour="orchid", n = length(z$myVar), args = list(shape1=shape1ML,shape2=shape2ML))
pSpecial + statSpecial
## `stat_bin()` using `bins = 30`. Pick
## better value with `binwidth`.
## Warning: Removed 2 rows containing missing values
## or values outside the scale range
## (`geom_bar()`).

3: Best-fitting distribution
The gamma density distribution is the most fitting for this sample data.
4: New data set
library(ggplot2) 
library(MASS) 
z <- rnorm(n=1718, mean=0.2)
z <- data.frame(1:1718, z)
names(z) <- list("ID", "myVar")
z <- z[z$myVar>0,]
str(z)
## 'data.frame':    957 obs. of  2 variables:
##  $ ID   : int  2 4 6 10 11 13 14 15 18 19 ...
##  $ myVar: num  1.3561 0.7395 1.2047 0.0235 0.4995 ...
summary(z$myVar)
##     Min.  1st Qu.   Median     Mean  3rd Qu.     Max. 
## 0.002567 0.392376 0.783230 0.904953 1.305666 3.540801
b: Plot histogram
p1 <- ggplot(data=z, aes(x=myVar, y=..density..)) +
  geom_histogram(color="grey60",fill="cornsilk",size=0.2) 
print(p1)
## `stat_bin()` using `bins = 30`. Pick
## better value with `binwidth`.

d: Get maximum likelihood parameters for normal
meanML <- normPars$estimate["mean"]
sdML <- normPars$estimate["sd"]
xval <- seq(0,max(z$myVar),len=length(z$myVar))
stat <- stat_function(aes(x = xval, y = ..y..), fun = dnorm, colour="red", n = length(z$myVar), args = list(mean = meanML, sd = sdML))
 p1 + stat
## `stat_bin()` using `bins = 30`. Pick
## better value with `binwidth`.

h: Plot gamma probability density
gammaPars <- fitdistr(z$myVar,"gamma")
## Warning in densfun(x, parm[1], parm[2], ...): NaNs produced
## Warning in densfun(x, parm[1], parm[2], ...): NaNs produced
## Warning in densfun(x, parm[1], parm[2], ...): NaNs produced
## Warning in densfun(x, parm[1], parm[2], ...): NaNs produced
## Warning in densfun(x, parm[1], parm[2], ...): NaNs produced
## Warning in densfun(x, parm[1], parm[2], ...): NaNs produced
## Warning in densfun(x, parm[1], parm[2], ...): NaNs produced
shapeML <- gammaPars$estimate["shape"]
rateML <- gammaPars$estimate["rate"]
data <- data.frame(x = rnorm(1718))
p <- ggplot(data, aes(x = x)) +
  geom_histogram(aes(y = ..density..), binwidth = 0.2, color = "grey60", fill = "cornsilk", size = 0.2) +
  stat_function(fun = dnorm, args = list(mean = mean(data$x), sd = sd(data$x)), colour = "red")
print(p)

Original data histogram plot
p1 <- ggplot(data=z, aes(x=myVar, y=..density..)) +
  geom_histogram(color="grey60",fill="cornsilk",size=0.2) 
print(p1)
## `stat_bin()` using `bins = 30`. Pick
## better value with `binwidth`.

Original data probability curve
gammaPars <- fitdistr(z$myVar,"gamma")
## Warning in densfun(x, parm[1], parm[2], ...): NaNs produced
## Warning in densfun(x, parm[1], parm[2], ...): NaNs produced
## Warning in densfun(x, parm[1], parm[2], ...): NaNs produced
## Warning in densfun(x, parm[1], parm[2], ...): NaNs produced
## Warning in densfun(x, parm[1], parm[2], ...): NaNs produced
## Warning in densfun(x, parm[1], parm[2], ...): NaNs produced
## Warning in densfun(x, parm[1], parm[2], ...): NaNs produced
shapeML <- gammaPars$estimate["shape"]
rateML <- gammaPars$estimate["rate"]
stat4 <- stat_function(aes(x = xval, y = ..y..), fun = dgamma, colour="brown", n = length(z$myVar), args = list(shape=shapeML, rate=rateML))
 p1 + stat + stat2 + stat3 + stat4
## `stat_bin()` using `bins = 30`. Pick
## better value with `binwidth`.

The two histogram profiles differ, the original being skewed right, and the similated one representing a normal distribution. Therefore, it doesn’t seem like the model is accurately simulating realistic data that matches that of the data set I imported.